문제
Given two integer arrays preorder and inorder where preorder is the preorder traversal of a binary tree and inorder is the inorder traversal of the same tree, construct and return the binary tree.
예시
Example 1:

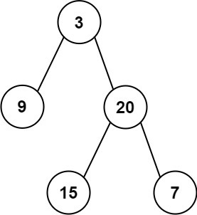
Input: preorder = [3,9,20,15,7], inorder = [9,3,15,20,7]
Output: [3,9,20,null,null,15,7]
Example 2:
Input: preorder = [-1], inorder = [-1]
Output: [-1]
조건
- 1 <= preorder.length <= 3000
- inorder.length == preorder.length
- -3000 <= preorder[i], inorder[i] <= 3000
- preorder and inorder consist of unique values.
- Each value of inorder also appears in preorder.
- preorder is guaranteed to be the preorder traversal of the tree.
- inorder is guaranteed to be the inorder traversal of the tree.
답
Preorder는 [root, left, right] 순서대로 표시되고,
Inorder는 [left, root, right] 순서대로 표시됩니다.
따라서 Preorder는 항상 맨 앞 요소를 선택하고 Inorder에서 같은 값을 가진 index를 찾아냅니다.
(이 때 travling 시간을 줄이기 위해 hash map을 사용합니다)
Inorder를 반으로 갈라 각각 left, right 재귀 호출할 때 반환해주는 것을 반복합니다.
이후 left, right가 합쳐져 그 사이에 요소가 없어지면 null을 반환해주면 됩니다.
/**
* Definition for a binary tree node.
* function TreeNode(val, left, right) {
* this.val = (val===undefined ? 0 : val)
* this.left = (left===undefined ? null : left)
* this.right = (right===undefined ? null : right)
* }
*/
/**
* @param {number[]} preorder
* @param {number[]} inorder
* @return {TreeNode}
*/
var buildTree = function(preorder, inorder) {
const inorderMap = new Map();
let preorderIdx = 0;
for (let i=0; i<inorder.length; ++i) {
inorderMap.set(inorder[i], i);
}
const search = (left, right) => {
if (left > right) return null
const node = new TreeNode(preorder[preorderIdx++]);
const inIdx = inorderMap.get(node.val);
node.left = search(left, inIdx - 1);
node.right = search(inIdx + 1, right);
return node
}
return search(0, inorder.length - 1);
};728x90
'CS > PS' 카테고리의 다른 글
| [PS] Leet | 212. 단어 찾기 II (2) | 2025.07.25 |
|---|---|
| [PS] Leet | 211. 단어 데이터 추가 및 탐색 (0) | 2025.07.22 |
| [PS] Leet | 5. 가장 긴 팰린드롬 하위문자열 (0) | 2025.06.27 |
| [PS] Leet | 125. 팰린드롬 찾기 (0) | 2025.06.20 |
| [PS] Leet | 76. 가장 작은 하위 문자열의 창(window) (0) | 2025.06.19 |