문제
You are given the head of a singly linked-list. The list can be represented as:
L0 → L1 → … → Ln - 1 → Ln
Reorder the list to be on the following form:
L0 → Ln → L1 → Ln - 1 → L2 → Ln - 2 → …
You may not modify the values in the list's nodes. Only nodes themselves may be changed.
예시
Example 1:

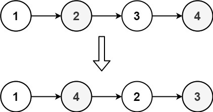
Input: head = [1,2,3,4]
Output: [1,4,2,3]
Example 2:

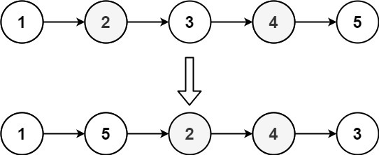
Input: head = [1,2,3,4,5]
Output: [1,5,2,4,3]
조건
- The number of nodes in the list is in the range [1, 5 * 104].
- 1 <= Node.val <= 1000
답
총 세 단계로 나누어 해결합니다.
1. 리스트의 중간지점을 찾고
2. 중간을 기준으로 뒤쪽 리스트를 반전(reverse)하여
3. 앞쪽 리스트와 뒤쪽 리스트를 서로 교차하면서 병합합니다.
/**
* Definition for singly-linked list.
* function ListNode(val, next) {
* this.val = (val===undefined ? 0 : val)
* this.next = (next===undefined ? null : next)
* }
*/
/**
* @param {ListNode} head
* @return {void} Do not return anything, modify head in-place instead.
*/
var reorderList = function(head) {
let node1 = head;
let node2 = head;
// 1. find node1
while (node2 && node2.next) {
node2 = node2.next.next;
node1 = node1.next;
}
// 2. reverse the half
let prev = node1.next;
node2 = node1;
node2.next = null;
while (prev) {
const tmp = prev.next;
prev.next = node2;
node2 = prev;
prev = tmp;
}
// 3. merge
node1 = head;
while (node2.next) {
const node1Next = node1.next;
const node2Next = node2.next;
node1.next = node2;
node2.next = node1Next;
node1 = node1Next;
node2 = node2Next;
}
return head;
};
시간 복잡도 : O(n)
공간 복잡도 : O(1)
728x90
'CS > PS' 카테고리의 다른 글
| [PS] Leet | 424. 가장 긴 반복되는 철자로 대체하기 (0) | 2025.06.18 |
|---|---|
| [PS] Leet | 48. 이미지 회전 (0) | 2025.05.21 |
| [PS] Leet | 23. 정렬된 K개의 리스트 합치기 (0) | 2025.05.09 |
| [PS] Leet | 141. 연결 리스트 순환 (0) | 2025.05.03 |
| [PS] Leet | 435. 겹치지 않는 구간들 (0) | 2025.04.30 |